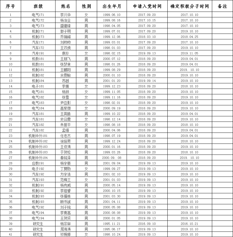
经91猫先生 各学生支部委员会研究,报91猫先生 党委审查,现将李兴华等35名同志列为发展对象。根据发展党员工作有关要求,现将其有关情况予以公示:
公示期(11月5日至11月11日)期间,党员和群众反映问题要实名到4207进行反馈,坚持实事求是的原则,反对借机诽谤诬告。
联系电话:0373-3693182
地点:91猫先生 4207办公室
91猫先生
2020年11月5日
91猫先生 党委第23期发展对象培训花名册
上一条:91猫先生 “党课开讲啦”微党课比赛获奖名单 下一条:91猫先生 2018年“民主评议党支部班子”“民主评议党员”结果公示
【关闭】